Properties of Fluids
(1) Density or mass density -:
- Density or mass density is the property of fluid defined as the ratio of mass of fluid to its volume. Thus mass per unit volume of a fluid is called density.
- It is denoted by the symbol ρ( rho).
- The density of liquid may be consider as constant while the of gases changes with the variation of pressure and temperature. Mathematically , mass density is written as
ρ = Mass of fluid / volume of fluid
- The unit of mass density in SI unit is kg per cubic metre, i.e.,kg/m^3 .
- Dimensional formula : M1 L-3 T0
(2) Specific weight or weight density -:
- Specific weight or weight density is property of fluid defined as the ratio between the weight of fluid to its volume. Thus weight per unit volume iof a fluid is called weight density.
- It is denoted by the symbol w .
- Thus methametically ,
w = weight of fluid / volume of fluid
(3) Specific volume -:
- Specific volume of a fluid is defined as the volume of the fluid occupied by a unit mass or volume per unit mass of a fluid is called specific volume .
- Methametically , it is expressed as
Specific volume = volume of fluid / mass of fluid
Specific volume = 1/ρ
- The specific volume is recipocal of mass density .
- It is commonly applied to gasses .
- It is expressed as m³/kg .
- Dimensional formula : M-1L3T0
(4) Specific gravity -:
- Specific gravity is defined as the ratio of the weight density (or density) of fluid to the weight density (or density) of a standard fluid .
- For liquids the standard fluid is taken water and for gases the standard fluid is taken air .
- Specific gravity is also called relative density .
- It is dimension less quantitiy.
- it is denoted by the symbol S.
- Mathematically
S(liquid)= wt density of liquid/wt density of water
- If the specific gravity of fluid is known then the density of fliud will be equal to specific gravity of fluid multiplied by the density of water .
- For example : specific gravity of mercury is 13.6 ,hence density of mercury = 13.6 *1000 = 13600 kg/m^3 .
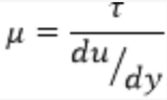
(5) Viscosity : it is defined as Resistance to flow.
i) dynamic Viscosity :
- Viscosity is defined as the property of fluid that offers resistance to the fluid.
- From Newton's law of viscosity

ii) Kinematic viscosity
- Kinematic viscosity is property of fluid defined as the ratio of dynamic Viscosity to the density of fluid.
If you like this article Properties of Fluids, then share it with your friends and others.

Post a Comment
Comment regarding any doubts.